详解倾角传感器的分类及工作原理
倾角传感器经常用于系统的水平距离和物体的高度的测量,从工作原理上可分为固体摆式、液体摆式、气体摆式三种倾角传感器,这三种倾角传感器都是利用地球万有引力的作用,将传感器敏感器件对大地的姿态角,即与大地引力的夹角(倾角)这一物理量,转换成模拟信号或脉冲信号。

固体摆式倾角传感器

如上图所示,其由摆锤、摆线、支架组成,摆锤受重力G和摆拉力T的作用,其合外力:
F=Gsinθ=mgsinθ
式中的θ为摆线与垂直方向的夹角。在小角度范围内测量时,可以认为F与θ成线性关系。如应变式倾角传感器就是基于此原理。
液体摆式倾角传感器
液体摆的结构原理是在玻璃壳体内装有导电液,并有三根铂电极和外部相连接,三根电极相互平行且间距相等,如下图所示。

当壳体水平时,电极插入导电液的深度相同。如果在两根电极之间加上幅值相等的交流电压时,电极之间会形成离子电流,两根电极之间的液体相当于两个电阻RI和RIII。
若液体摆水平时,则RI=RIII。
当玻璃壳体倾斜时,电极间的导电液不相等,三根电极浸入液体的深度也发生变化,但中间电极浸入深度基本保持不变。如图所示,左边电极浸入深度小,则导电液减少,导电的离子数减少,电阻RI增大,相对极则导电液增加,导电的离子数增加,而使电阻RIII减少,即RI>RIII。反之,若倾斜方向相反,则RI<RIII。

在液体摆的应用中也有根据液体位置变化引起应变片的变化,从而引起输出电信号变化而感知倾角的变化。在实用中除此类型外,还有在电解质溶液中留下一气泡,当装置倾斜时气泡会运动使电容发生变化而感应出倾角的“液体摆”。
气体摆式倾角传感器
“气体摆”式惯性元件由密闭腔体、气体和热线组成,当腔体所在平面相对水平面倾斜或腔体受到加速度的作用时,热线的阻值发生变化,并且热线阻值的变化是角度q或加速度的函数,因而也具有摆的效应。其中热线阻值的变化是气体与热线之间的能量交换引起的。
“气体摆”式惯性器件的敏感机理基于密闭腔体中的能量传递,在密闭腔体中有气体和热线,热线是唯一的热源。当装置通电时,对气体加热。在热线能量交换中对流是主要形式。

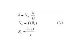
对流传热的方程为:

其中:h—热量传递系数(w/m2×k),s—热线表面积(m2),TH—热线温度(K),TA—气体温度(K)。
热量传递系数h与流体的热传导率、动力学粘度、流体速度和热线直径有关,表示为:

其中:Nu为—努塞尔(Nusselt)数,l—热传导率(W/mK),Re—雷诺(Reynold)数,U—流体速度(m2/s),D—热线的直径(m),n—流体的动力学粘度。
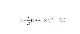
当气流以速度U垂直穿过热线时,

将(4)式代入(3)式得:

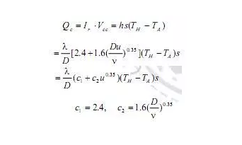
根据热平衡方程可得:

所以:

假设和s为常数,则有:

从式(7)可以看出,当流体的动力学粘度、密度和热传导特性一定时,若热线周围流体的速度不同,则流过热线的电流也不同,从而引起热线两端的电压也产生相应的变化。气体摆式惯性器件就是根据一原理研制的。
气体摆式检测器件的核心敏感元件为热线。电流流过热线,热线产生热量,使热线保持一定的温度。热线的温度高于它周围气体的温度,动能增加,所以气体向上流动。在平衡状态时,如图4(a)所示,热线处于同一水平面上,上升气流穿过它们的速度相同,即V1=V1′,这时,气流对热线的影响相同,由式(7)可知,流过热线的电流也相同,电桥平衡。当密闭腔体倾斜时,热线相对水平面的高度发生了变化,如图4(b)所示,因为密闭腔体中气体的流动是连续的,所以热气流在向上运动的过程中,依次经过下部和上部的热线。若忽略气体上升过程中克服重力的能量损失,则穿过上部热线的气流已经与下部热线的产生热交换,使穿过两根热线时的气流速度不同,这时V2¢>V2,因此流过两根热线的电流也会发生相应的变化,所以电桥失去平衡,输出一个电信号。倾斜角度不同,输出的电信号也不同。
查看全文
传感器大佬
比易烊千玺帅一点点的传感器从业者。
作者最近更新
-
外媒:中国28nm和14nm芯片进步神速传感器大佬
2021-06-23
-
一文读懂视觉传感器的工作原理、应用和选型传感器大佬
2021-06-17
-
一文看懂智能传感器的应用场景传感器大佬
2021-06-16



评论0条评论