文章推荐——《基于SnO2的MEMS传感器阵列在肉类种类和新鲜度智能识别的研究》

肉类种类和新鲜度智能识别的研究
基于SnO2的MEMS传感器阵列在






引用:Optimization of SnO₂-based MEMS sensor array for expeditious and precise categorization of meat types and freshness status [J]. Sensors and Actuators: A. Physical, 2025, 391: 116680.
作者单位:宁波大学/中国科学院宁波材料技术与工程研究所/中科微感(宁波)科技有限公司/中国传感谷嗅觉传感器研发与制造基地
(注:本论文中传感器模块硬件设计及软件测试系统由中科微感提供)

1
内容简介
本文提出一种基于四种 SnO₂基 MEMS 气体传感器的创新阵列,专为肉类种类及新鲜度即时检测设计。肉类易在储存中发生微生物和酶促腐败,传统检测方法受成本与复杂度限制难以实时应用。该传感器阵列通过喷墨打印技术制备,包含 SnO₂、Cu-SnO₂、Ni-SnO₂和 Pd-Au-SnO₂四种传感器,对肉类腐败特征气体 ppm 级三甲胺(TMA)和 ppb 级硫化氢(H₂S)具有极高灵敏度。结合机器学习算法后,系统实现 95.52% 的肉类种类识别准确率,对鸡肉、猪肉和鲳鱼的新鲜度识别准确率达 100%,SVM 模型在九类鲜肉分类中准确率为 94.03%。密度泛函理论(DFT)分析表明,异质结和贵金属修饰优化了能带结构,显著提升传感性能。该研究为食品安全与质量检测提供了先进技术框架,具有向物联网赋能的食品安全应用延伸的潜力。
关键词:基于SnO2的MEMS传感器 种类和新鲜度预测 机器学习 密度泛函理论

2
图文导读

图1. (A)SnO2基MEMS气体传感器的制备过程;(B)气体传感器阵列的测试平台。

图2. 不同特征提取方法示意图:(A)SnO2气体传感器的响应过程;(B)VR、DR、AUC;(C)EMA。

图3. 基于SnO2的MEMS气体传感器的响应:(A)对0.5-100 ppm的三甲胺的响应;(B)对5-1000 ppb的硫化氢的响应;(C)对10 ppm的三甲胺的重复性;(C)对10 ppb的硫化氢的重复性。

图4. (A)四个传感器的相关系数图;(B)传感阵列的主成分分析图。

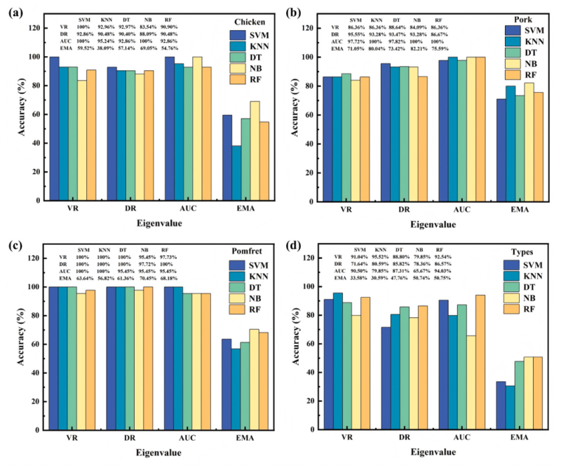
图5. 四个特征提取和五个机器学习模型的识别精度:(A)鸡肉新鲜度分类;(B)猪肉新鲜度分类;(C)梭鱼新鲜度分类;(D)三种肉类类型的分类。

图6. (A)不同机器学习对应的肉类类型和新鲜度的定性识别精度;(B)支持向量机混淆矩阵模型示意图。

图7. (A)纯SnO2;(B)Pd-Au-SnO2;(C)Ni-SnO2和(D)CuSnO2的密度泛函理论计算。

3
总结和展望
本研究通过喷墨打印技术在 MEMS 基底上成功制备了 SnO₂基传感阵列,实现了对肉类腐败特征气体的高灵敏度检测。Pd-Au-SnO2传感器对 10 ppm 三甲胺响应值达 88.25,Cu-SnO2传感器对 5 ppb 硫化氢响应值为 2.27,展现出优异的传感性能。结合优化的特征提取方法与机器学习算法,系统在肉类种类和新鲜度分类中取得了高精度结果,其中 SVM 模型在混合数据库分类中准确率达 94.03%。DFT 分析揭示了异质结结构和贵金属修饰增强传感性能的内在机制。尽管该研究在受控实验室环境下完成,面对实际复杂多组分分析仍有局限,但为智能肉类质量监测系统的发展奠定了基础。未来,该技术有望进一步拓展至食品供应链全流程监测,通过物联网实现实时、分布式的食品安全感知网络。
作者注:
民以食为天,食以安为先。肉类作为餐桌上的常见食材,其种类真伪与新鲜度直接关系到消费者的饮食安全和健康。传统肉类检测方法受成本、操作复杂度等限制,难以实现实时、快速检测,无法满足食品流通环节的高效筛查需求。MEMS 嗅觉传感器,正为这一行业痛点提供了创新解决方案。

作为该研究核心传感器模组的设计方,中科微感的人工智能 + 嗅觉传感器(CM-ENose)系列产品,解决了本论文研究中的喷墨印刷法所难以实现的高稳定、高一致、批量生产工业的问题,凭借小巧的体积、高灵敏度、快速响应等优势,打破了传统检测技术的局限,让肉类安全检测变得高效、便捷、低成本。这一技术未来不仅适用于实验室精准分析,更具备向实际应用场景延伸的巨大潜力 —— 未来可广泛嵌入超市冷链、生鲜电商仓储、餐饮采购验收等环节,通过物联网技术构建实时、分布式的食品安全感知网络,实现从生产到消费的全链条质量监测。
END
地址:浙江省宁波市镇海区庄市街道
中官西路1277号A栋1102
查看全文
中科微感
中科微感(宁波)科技有限公司成立于2022年6月,已获得20余项软著专利,核心研发团队攻克了长期制约人工嗅觉传感发展的核心材料、膜层沉积工艺、硬件算法等技术,开发出基于新型纳米敏感材料、微纳加工技术和人工智能算法的 MEMS 基金属氧化物半导体原理的人工嗅觉传感器产品(AI-Nose)及相关配套算法和平台。解决了人工智能嗅觉技术在市场应用中的关键问题:提供量产化的高一致、低成本、微型化的嗅觉传感器阵列硬件,填补了国内外气味识别感知产品的空白。目前已经在汽车电子、公安缉毒、大气环保监测、储能电池热失控监测等
作者最近更新
-
车载数字嗅觉技术发展路线图:从环境感知到认知智能的演进中科微感
03-06 19:00
-
中科微感2026年春节放假通知及备货提醒中科微感
02-02 18:31
-
文章推荐——MEMS基0D/1D/2D纳米复合材料实现室温超灵敏氨检测中科微感
01-09 18:30



评论0条评论